Точки разрыва функции и их виды
Смысл точки разрыва функции
Определение точек разрыва функции и их видов является продолжением темы непрерывности функции. Наглядное (графическое) объяснение смысла точек разрыва функции даётся так же в контрасте с понятием непрерывности. Научимся находить точки разрыва функции и определять их виды. И помогут нам в этом наши верные друзья - левый и правый пределы, обобщённо называемые односторонними пределами. Если у кого-то есть страх перед односторонними пределами, то скоро развеем его. Кстати, будет полезным открыть в новом окне материал Свойства и графики элементарных функций.
Точки на
графике, которые не соединены между собой, называются точками разрыва функции. График
такой функции, терпящей разрыв в точке x=2 -
-
на рисунке ниже.
Обобщением вышесказанного является следующее определение. Если
функция не является непрерывной в точке
,
то она имеет в этой точке разрыв а сама точка называется точкой разрыва. Разрывы бывают
первого рода и второго рода.
Для того, чтобы определять виды (характер) точек разрыва функции нужно уверенно
находить пределы, поэтому нелишне открыть в новом окне соответствующий урок.
Но в связи с точками разрыва у нас появляется кое-что новое и важное - односторонние (левый и правый) пределы.
Обобщённо они записываются
(правый предел)
и
(левый предел). Как и в случае
с пределом вообще, для того, чтобы найти предел функции, нужно в выражение функции вместо икса подставить то, к чему
стремится икс. Но, возможно, спросите вы, чем же будут отличаться правый и левый пределы, если в случае правого к иксу хотя что-то и
прибавляется, но это что-то - ноль, а в случае левого из икса что-то вычитается, но это что-то - тоже ноль? И будете
правы. В большинстве случаев.
Но в практике поиска точек разрыва функции и определения их вида существует два типичных случая, когда правый и левый пределы не равны:
- у функции существует два или более выражений, зависящих от участка числовой прямой, к которой принадлежит икс (эти выражения обычно записываются в фигурных скобках после f(x)=);
- в результате подстановки того, к чему стремится икс, получается дробь, в знаменателе которой остаётся или плюс ноль (+0) или минус ноль (-0) и поэтому такая дробь означает либо плюс бесконечность, либо минус бесконечность, а это совсем разные вещи.
Нахождение точек разрыва функции может быть как самостоятельной задачей, так и частью Полного исследования функции и построения графика.
Точки разрыва первого рода
Точка разрыва первого рода: у функции существуют как конечный (т. е. не равный бесконечности) левый предел, так и конечный правый предел, но функция не определена в точке или левый и правый пределы различны (не равны).
Точка устранимого разрыва первого рода. Левый и правый пределы равны. При этом существует возможность доопределить функцию в точке. Доопределить функцию в точке, говоря просто, значит обеспечить соединение точек, между которыми находится точка, в которой найдены равные друг другу левый и правый пределы. При этом соединение должно представлять собой лишь одну точку, в которой должно быть найдено значение функции.
Пример 1. Определить точку разрыва функции
и вид (характер) точки разрыва.
Решение. Функция не определена в точке
.
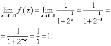
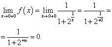
Находим левый и правый пределы функции в этой точке:
,
.
Левый и правый пределы равны, следовательно точка
-
точка устранимого разрыва первого рода.
Есть возможность доопределить функцию:

График функции с точкой разрыва - под примером.
Точка неустранимого (конечного) разрыва первого рода. Существуют левый и правый пределы, но они различны (не равны). Функцию невозможно доопределить. Разность пределов называется скачком.
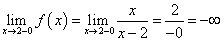
Пример 2. Определить точку разрыва функции
и вид (характер) точки разрыва для функции
Решение. Очевидно, что в точке
меняется выражение функции. Найдём левый и правый пределы функции в этой точке:
,
.
Левый и правый пределы не равны равны, следовательно точка
-
точка неустранимого (конечного) разрыва первого рода. График функции с точкой разрыва - под примером.
Нахождение точек разрыва функции может быть как самостоятельной задачей, так и частью Полного исследования функции и построения графика.
Пройти тест по теме Производная, дифференциал и их применение
Пройти тест по теме Предел
Точки разрыва второго рода
Точка разрыва второго рода: точка, в которой хотя бы один из пределов (левый или правый) - бесконечный (равен бесконечности).
Пример 3. Определить точку разрыва функции
и вид (характер) точки разрыва для функции
Решение. Из выражения степени при e видно, что в точке
функция не определена. Найдём левый и правый пределы функции в этой точке:
,
.
Один из пределов равен бесконечности, поэтому точка
-
точка разрыва второго рода. График функции с точкой разрыва - под примером.
Нахождение точек разрыва функции может быть как самостоятельной задачей, так и частью Полного исследования функции и построения графика.
И ещё пара примеров, решаемых вместе, а далее - для самостоятельного решения.
Пример 4. Определить точку разрыва функции
и вид (характер) точки разрыва для функции
Решение. Из выражения степени при 2 видно, что в точке
функция не определена. Найдём левый и правый пределы функции в этой точке:

.
Пределы не равны и конечны, поэтому точка
-
точка неустранимого разрыва первого рода. График функции с точкой разрыва - под примером.
Пример 5. Определить точку разрыва функции
и вид (характер) точки разрыва для функции
Решение. Очевидно, что в точке
функция не определена. Найдём левый и правый пределы функции в этой точке:
,
.
Оба предела бесконечны, поэтому точка
-
точка разрыва второго рода. График функции с точкой разрыва - под примером.
Решить задачи на точки разрыва самостоятельно, а затем посмотреть решение
Пример 6. Определить точку разрыва функции
и вид (характер) точки разрыва для функции
Пример 7. Определить точку разрыва функции
и вид (характер) точки разрыва для функции
| Назад<<< | Листать | Вперёд>>> |
- Непрерывность функции
- Точки разрыва функции и их виды
- Экстремумы функции
- Наименьшее и наибольшее значения функции
- Асимптоты
- Возрастание, убывание и монотонность функции
- Выпуклость и вогнутость графика функции, точки перегиба
- Полное исследование функций и построение графиков
- Функции двух и трёх переменных
- Экстремумы функции двух переменных
- Условные экстремумы и функция Лагранжа
